Congenital sideroblastic anaemias (CSA) are a rare group of disorders characterized by the presence of pathologic iron deposits within the mitochondria of erythroid precursors (ring sideroblasts) in the bone marrow due to heterogenous germline mutations leading to defects in mitochondrial heme synthesis, iron-sulfur (Fe-S) cluster biogenesis, or protein synthesis. Patients present with anaemia and relative reticulocytopenia, and systemic iron overload secondary to chronic ineffective erythropoiesis, leading to end-organ damage. The disease is heterogenous underlying the genetic variability and the variable response to treatment. Although a number of CSA patients have received a bone marrow transplant, the outcomes and toxicities are not known. This status makes it very difficult to understand the role of BMT in the management of CSA.
A search in the EBMT database identified 28 patients receiving a HSCT for CSA between 1998 to 2018 by 24 participating centres. The median year of transplantation was 2014 (IQR 2004-2016). The distribution was equal between males (n=14) and females (n=14). The median age at transplantation was 7 years of age (3-10 years). Fifteen patients had a sibling HSCT (88%), one a family matched donor HSCT (6%) and one an unrelated matched (6%), the type of transplant being unknown in others (n=11). The source of stem cells was bone marrow in 20 cases (74%), peripheral blood in 4 cases (15%), cord blood in 2 (7%) and combined bone marrow and cord in one (4%). Five cases had a Bu/Cy based conditioning regimen, 4 had Bu/fludarabine based regimen and three fludarabine/treosulfan based conditioning with the rest having a variety of approaches. Eighty-six percent of cases had serotherapy with ATG or alemtuzumab. The median follow-up was 31.6 months (95% CI, 12.2-74.1%).
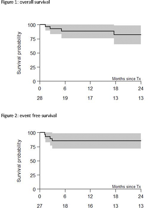
The overall survival at 12 and 24 months was 88% (76-100) and 82% (66-99), respectively (figure 1). The median neutrophil engraftment was 18 (15-21) days and platelet engraftment >20 x 109/L was 29 (20-51) days, with a graft failure incidence of 7% (0-17) at 12 months. Two patients suffered from VOD. There were four deaths, three of which were related to transplant complications. The event free survival (survival without graft failure, relapse and second transplant) at 12 and 24 months was 85% (72-99) (figure 2). Six patients developed acute GvHD grade II and one case grade III; giving a grade II/III incidence of 28% (10-46). There was one case of limited and one of chronic GvHD, giving an incidence of 11% (0-26%) at 12 months and 24 months.
In conclusion, whilst HSCT for CSA is a rare occurrence, these data demonstrate that HSCT for this condition is feasible and the outcomes are in keeping with those obtained for transplantation for transfusion dependent anaemias during the same time-period.
Handgretinger:Amgen: Honoraria. Moraleda:Gilead: Consultancy, Other: Travel Expenses; Jazz Pharmaceuticals: Consultancy, Research Funding; Novartis: Consultancy, Other: Travel Expenses; Sandoz: Consultancy, Other: Travel Expenses; Takeda: Consultancy, Other: Travel Expenses. Risitano:Novartis: Membership on an entity's Board of Directors or advisory committees, Research Funding, Speakers Bureau; Alnylam: Research Funding; Alexion: Consultancy, Membership on an entity's Board of Directors or advisory committees, Research Funding, Speakers Bureau; Jazz: Speakers Bureau; Roche: Membership on an entity's Board of Directors or advisory committees; Samsung: Membership on an entity's Board of Directors or advisory committees; Amyndas: Consultancy; RA pharma: Research Funding; Biocryst: Membership on an entity's Board of Directors or advisory committees; Apellis: Membership on an entity's Board of Directors or advisory committees, Speakers Bureau; Achillion: Membership on an entity's Board of Directors or advisory committees; Pfizer: Speakers Bureau. Peffault De Latour:Amgen: Research Funding; Pfizer: Consultancy, Honoraria, Membership on an entity's Board of Directors or advisory committees, Research Funding, Speakers Bureau; Novartis: Consultancy, Honoraria, Membership on an entity's Board of Directors or advisory committees, Research Funding, Speakers Bureau; Apellis: Membership on an entity's Board of Directors or advisory committees; Alexion Pharmaceuticals Inc.: Consultancy, Honoraria, Membership on an entity's Board of Directors or advisory committees, Research Funding, Speakers Bureau.
Author notes
Asterisk with author names denotes non-ASH members.

This feature is available to Subscribers Only
Sign In or Create an Account Close Modal